Given Example Of Radical
Lets say you have two chlorine atoms that are bonded or stuck. For example if you had been making spectacles in the 1950s then plastic lenses instead of glass lenses would have been an incremental innovation.

Adding Subtracting Radical Expressions Youtube
Radicals may be generated in a number of.

Given example of radical. Follow the same steps to solve these but pay attention to a critical pointsquare both sides of an equation not individual terms. And when the instructions for an exercise say to check ones answers this means that you need to show your check as part of your hand-in work. Like radicand means a number which is inside the radical must be same but the number outside the radical may be different.
Two other examples are triplet oxygen and triplet carbene CH 2 which have two unpaired electrons. When Netflix entered the home entertainment industry in 1997 as a mail-order DVD rental service Blockbuster an established company and. This expression tells us that a number x is multiplied by itself n number of times.
X10 x102 x5 3. Given a radical expression requiring addition or subtraction of square roots solve. Sometimes you will need to solve an equation that contains multiple terms underneath a radical.
An example of a radical function would be. CH 2 which has two dangling bonds. The radical expression 18 can be written with a 2 in the radicand as 32 so 2 18 2 32 42.
If the instructions dont tell you that you must check your answers. For example 52 and 32 are like radical. Example of a Free Radical Reaction Now that you have some terminology under your belt lets look at some actual free radicals.
56 562 53 2. However it is often possible to simplify radical expressions and that may change the radicand. Watch how the next two problems are solved.
Usually radical equations where the radical is a square root is called square root functions. A notable example of a radical is the hydroxyl radical HO a molecule that has one unpaired electron on the oxygen atom. 38 x6 y9 323 x6 y9 233 x63 y93 2 x2 y3.
Two other examples are the carbene molecule. A radical function contains a radical expression with the independent variable usually x in the radicand. Addition and subtraction of two or more radical terms can be performed with like radicands only.
For instance 3 2 3 3 9 and 2 4 2 2 2 2 16. One condition of particular importance is shown by. Netflix is an excellent example of the role radical innovation can play to disrupt an industry.
Incremental innovation is an improvement in an existing thing eg. The concept of radical is mathematically represented as x n. And the superoxide anion O 2 the oxygen molecule O 2 with one extra electron which has one dangling bond.
The idea of radicals can be attributed to exponentiation or raising a number to a given power. Where the exponent of each factor is its original exponent divided by the radical index. In the example above only the variable x was underneath the radical.
Well start with a couple simple exercises. As we go remember that we must square the two sides of an equation rather than the individual terms in those two sides. Everything can be innovated.
Certain structural features appear to be required for the existence of stable free radicals. Radical innovation is finding an entirely new way of doing something. An example is diphenylnitrogen oxide C 6 H 5 2 NO which is obtained by the oxidation of diphenylhydroxylamine C 6 H 5 2 NOH.
A notable example of a free radical is the hydroxyl radical HO a molecule that is one hydrogen atom short of a water molecule and thus has one bond dangling from the oxygen. A radical can sometimes be radical if the number under it was a square root. This tutorial demonstrates how to express answers in simplest radical form.
Some examples include radical 9 which would simplify to 3 and radical 64 which would simplify to 8. The value of the radical is obtained by forming the product of the factors.

Roots And Radical Expressions Radical Expressions Symmetry Math Form Example

Dividing Radicals Example Solutions Videos Worksheets Games Activities

Simplifying Radical Expressions Using Conjugates

Add And Subtract Radical Expressions Questions With Solutions

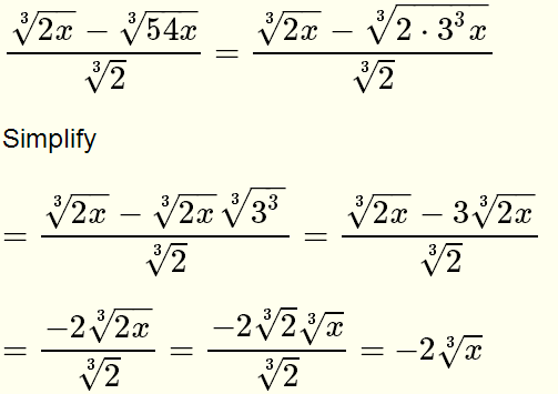
Simplify Radicals Questions With Solutions For Grade 10

Radicand Definition Concept Video Lesson Transcript Study Com

Graphing Radical Functions Using Transformations Plotting Points Youtube

What Is Surd Or Radical A Plus Topper

Dividing Radicals Solutions Examples Videos Worksheets Activities

Multiply Squares Roots Radicals Solutions Examples Videos

Adding And Subtracting Radicals Solutions Examples Videos Worksheets Activities

Multiplying And Dividing Radical Expressions

Simplify Radicals Questions With Solutions For Grade 10

Add And Subtract Radical Expressions Questions With Solutions

Simplify Radicals Questions With Solutions For Grade 10

Simplifying Radical Expressions
Radical And Rational Equations Lesson Article Khan Academy


Post a Comment for "Given Example Of Radical"